A respeito das medidas de assimetria e curtose, julgue os próximos itens.
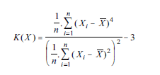
A curtose de uma distribuição correspondente a um conjunto de dados X com n elementos e média aritmetica
pode ser , corretamente calculada a partir da expressão abaixo. No caso em que X tem distribuição normal, a curtose é zero.
