Magna Concursos
1010924 Ano: 2019
Disciplina: Estatística
Banca: UFRN
Orgão: UFRN
Provas:

O cadastramento dos candidatos classificados no ENEM é o primeiro passo do processo de inserção dos estudantes nos cursos da universidade. Em situações como essa, é possível aplicar a teoria das filas para garantir um bom atendimento. Suponha que a administração estabelece um único dia para efetivar o cadastro e designa um atendente por curso para receber, conferir os documentos e dar entrada dos dados no sistema. Espera -se uma taxa de chegada de 6 pessoas por hora e que o atendente consiga processar 8 cadastros por hora.

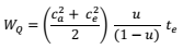
Para simplificar, considere que o sistema é do tipo G/G/1, com tempos exponenciais de chegada e de processamento, coeficiente de variação dos tempos de chegada das pessoas igual a 1, coeficiente de variação do tempo de processamento igual a 1,5 e as fórmulas a seguir:

Fórmula I – Enunciado 1010924-1

Fórmula II – WIP = tempo de ciclo x tempo de atravessamento

Nessas condições, o tempo médio de fila esperado é

 

Provas

Questão presente nas seguintes provas

Engenheiro de Produção

50 Questões