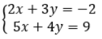
Calcule o valor de x + y, sabendo que: 

Provas
Questão presente nas seguintes provas
Assistente Social
40 Questões
Engenheiro Civil
40 Questões
Fisioterapeuta
40 Questões
Fonoaudiólogo
40 Questões
Médico - Clínica Geral
38 Questões
Médico - Pediatria
38 Questões
Odontólogo
40 Questões
Professor - Educação Física
40 Questões
Psicólogo
40 Questões