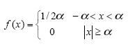
A variável aleatória X tem distribuição de probabilidades do tipo absolutamente contínuo com densidade de probabilidades

Provas
Questão presente nas seguintes provas
Analista do Bacen
100 Questões
Analista do Bacen - TI
100 Questões