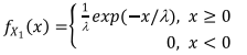
Sejam X1, X2,..., Xn observações de uma amostra aleatória da distribuição exponencial com parâmetro λ > 0 , isto é,

Sabe-se que, se
então y/n é o único estimador não viciado e de mínima variância para λ, e Var (y/n) = λ2/n .
É CORRETO afirmar que o único estimador não viciado e de mínima variância para Var(y/n) é dado por

Sabe-se que, se
então y/n é o único estimador não viciado e de mínima variância para λ, e Var (y/n) = λ2/n . É CORRETO afirmar que o único estimador não viciado e de mínima variância para Var(y/n) é dado por