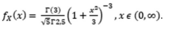
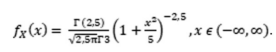
Marque a alternativa que corresponde corretamente
à representação de uma distribuição T-Student, com
parâmetro
, representando os graus de liberdade,
considerando
.
Provas
Questão presente nas seguintes provas
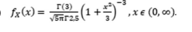
Marque a alternativa que corresponde corretamente
à representação de uma distribuição T-Student, com
parâmetro
, representando os graus de liberdade,
considerando
.