Magna Concursos
849075 Ano: 2014
Disciplina: Direito Ambiental
Banca: CESGRANRIO
Orgão: EPE
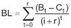
Usado para análise de impactos ambientais, o método da Análise Benefício/Custo é um método de avaliação de projetos. Nessa análise, deve-se calcular o Benefício Líquido (BL) para comparação das alternativas, através da expressão abaixo:

enunciado 849075-1
Nesse sentido, verifica-se que a(o)
 

Provas

Questão presente nas seguintes provas

Analista da EPE - Recursos Hídricos

60 Questões