- Distribuições de ProbabilidadeDistribuições Conjuntas, Marginais e Condicionais
- Estatística DescritivaMedidas de DispersãoVariância

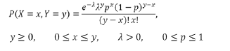
A respeito da distribuição conjunta (XY), de variáveis aleatórias discretas, apresentada acima, julgue os itens a seguir.
![]()