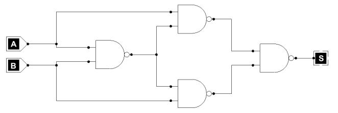
Na eletrônica digital, o Teorema de DeMorgan é uma ferramenta útil na simplificação de expressões
lógicas, permitindo a construção dos circuitos lógicos de maneira otimizada. Em alguns casos, é possível
reproduzir diferentes funções, utilizando apenas um tipo de porta lógica, como é o caso abaixo, em que
A e B são as entradas, independentes; S é a saída.

A saída desse circuito tem equivalência com a função lógica

A saída desse circuito tem equivalência com a função lógica