
Considerando que a tabela de contingência acima mostra os resultados de um levantamento estatístico, julgue os itens que se seguem.
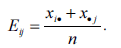
A estatística do teste qui-quadrado para independência é

Provas
Questão presente nas seguintes provas
Oficial Técnico de Inteligência - Estatística
150 Questões