Para responder às questões de nos 1 e 2, utilize os
dados da tabela abaixo, que apresenta as freqüências
acumuladas das idades de 20 jovens entre 14 e 20 anos.

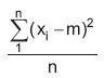
Uma das medidas de dispersão é a variância populacional, que é calculada por dados da tabela abaixo, que apresenta as freqüências
acumuladas das idades de 20 jovens entre 14 e 20 anos.

.Sabendo-se que m é a média aritmética dessas idades, qual a variância das idades na população formada pelos 20 jovens?