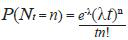
Considerando que a variável número de sinistros
tem distribuição de Poisson, dada por:

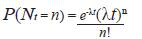
cujo modelo para os riscos anuais é dado por:
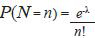
tem distribuição de Poisson, dada por:
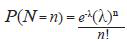
cujo modelo para os riscos anuais é dado por:
Provas
Questão presente nas seguintes provas