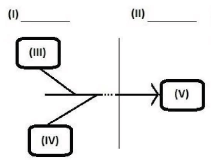
Uma equipe está investigando uma situação em que um de seus equipamentos não está funcionando. Para investigar a causa, eles utilizam a ferramenta baseada em diagrama parcialmente esquematizada a seguir.

Nessa figura, os termos corretos para substituir (I), (II), (III), (IV) e (V) são, respectivamente: