- EletrotécnicaCircuitos de Corrente Contínua em Eletrotécnica
- EletrotécnicaCircuitos Elétricos em Eletrotécnica

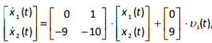
Dado que x1(t) = vc (t) e x2 (t) = i(t) são as variáveis de estado do sistema e que uma possível representação no espaço de estados desse circuito é dada por
os polos da função de transferência desse sistema são –1 e –9.