Magna Concursos
2065825 Ano: 2022
Disciplina: Estatística
Banca: CESPE / CEBRASPE
Orgão: DPE-RO

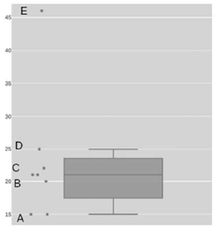
Enunciado 2065825-1

No gráfico boxplot anteriormente apresentado, o outlier do conjunto de dados é representado pelo ponto

 

Provas

Questão presente nas seguintes provas

Analista de Defensoria - Administração

70 Questões