Magna Concursos
918076 Ano: 2011
Disciplina: Estatística
Banca: CESPE / CEBRASPE
Orgão: ALECE
Um fiscal deverá escolher aleatoriamente algumas áreas de certa floresta para serem visitadas. Com base em um mapa, o fiscal dividiu a floresta em regiões mutuamente exclusivas, formando uma partição. Essas regiões possuem áreas distintas.

Tendo como referência essa situação, julgue o item, com base nos conceitos de probabilidade e inferência estatística.
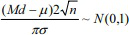
Suponha que a mediana amostral Md seja uma estatística considerada pelo fiscal para efetuar inferências acerca da média μ de uma distribuição simétrica cujo desvio padrão populacional é igual a σ. Nessa situação, para uma amostra de tamanho n suficientemente grande, pelo teorema central do limite, é correto afirmar que Enunciado 918076-1.
 

Provas

Questão presente nas seguintes provas

Analista Legislativo - Estatística

120 Questões