Magna Concursos
2626235 Ano: 2023
Disciplina: Estatística
Banca: IBFC
Orgão: Pref. Cuiabá-MT
Provas:

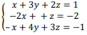
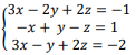
Assinale a alternativa em que o sistema é possível e determinado:

 

Provas

Questão presente nas seguintes provas

Estatístico

60 Questões