Magna Concursos
3238727 Ano: 2012
Disciplina: Estatística
Banca: FUNDEP
Orgão: MPE-MG
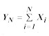
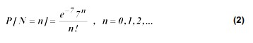
Seja Xi a variável aleatória que representa o custo mensal da empresa, em unidades monetárias, devido à ocorrência do i-ésimo acidente de trabalho. Seja Enunciado 3601029-1, o custo total mensal (em unidades monetárias) da empresa devido à ocorrência de acidentes de trabalho, sendo Xi variáveis aleatórias independentes com distribuição uniforme no intervalo (40;200). Suponha que N seja uma variável aleatória independente de Xi, para todo i, com distribuição dada como em (2):
Enunciado 3601029-2

Seja Y0 =0.
Nesse caso, pode-se afirmar que o custo mensal médio, em unidades monetárias, devido à ocorrência de acidentes de trabalho na empresa é igual a
 

Provas

Questão presente nas seguintes provas