
Com base nessa situação hipotética, supondo, ainda, que a população de clientes tenha sido muito grande; que a amostragem tenha sido aleatória simples; que
(2,0) = 0,977, em que
(z) representou a função de distribuição acumulada da distribuição Normal padrão; e que a distribuição t de Student apresenta cauda mais pesada que a distribuição Normal padrão, julgue os itens a seguir.rão, julgue os itens a seguir.
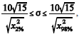
Uma estimativa intervalar de 96% de nível de confiança para o desvio padrão populacional (em mil toneladas/dia) tem a forma
em que
correspondem, respectivamente, ao percentil 2.º e 98.º da distribuição qui-quadrado com 15 graus de liberdade.