Magna Concursos
Questões
Planos
Entrar
Entrar
Criar Conta
Respondida
778738
Ano:
2019
Disciplina:
Administração Geral
Banca:
DIRENS Aeronáutica
Orgão:
CIAAR
Provas:
EAOAP - Administração
Provas
×
Gestão de Processos
Organizações, Sistemas e Métodos
Representações Gráficas
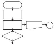
Observe atentamente o fluxograma a seguir.
No fluxograma, qual é a sequência ideal de ações para cada figura apresentada?
A
Início; confirma pagamento; recebe NF; conector fora da página; O valor é devido?
B
Início; atualiza a data; distribuem atrasados; conetor mesma página; existem outros?
C
Fim; arquiva os documentos; recebe a documentação; arquivo definitivo; foram assinados?
D
Preparação; recebe a documentação; arquiva os documentos; conexão de data; houve compra?
Resolver
Comentários
0
×
Cadernos
×
Flashcards
×
Estatísticas
×
Reportar um erro
×
Provas
Questão presente nas seguintes provas
EAOAP - Administração
60 Questões
Resolver Prova
Publicar
Responder
Qual o problema da questão?
Selecione uma opção
Questão Desatualizada
Questão Repetida
Gabarito Errado
Outros Motivos
Mensagem
Enviar
Acessar
Criar Conta
Acesse sua Conta
Google
Facebook
Esqueci minha senha
Acessar
Ainda não tem conta?
Crie uma
!
Crie uma Conta
Criar Conta
Olá, para continuar, precisamos criar uma conta!
É
rápido
e
grátis
.
Google
Facebook
Concordo com os
Termos de Uso
Criar
Já tem uma conta?
Acesse aqui