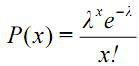
A distribuição de probabilidade de ocorrência de falhas em determinado equipamento obedece ao modelo exponencial de Poisson,
, em que x é o número de falhas, e é o número de Napier e
é o número médio de falhas em um período de tempo. A respeito do modelo acima, e considerando que
julgue os seguintes itens.
A soma de todos os valores de probabilidade do modelo é necessariamente igual a 1.
, em que x é o número de falhas, e é o número de Napier e Provas
Questão presente nas seguintes provas
Analista de Correios - Engenharia Mecânica
120 Questões