Um sistema discreto e causal, tendo x(n) como sinal de entrada e y(n) como sinal de saída, apresenta, como resposta ao impulso, a expressão ![]()
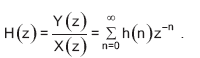
A função de transferência desse sistema é obtida pela transformada Z de h(n), dada pela expressão

O(s) polo(s) desse sistema no plano complexo Z é(são)