Magna Concursos
785269 Ano: 2017
Disciplina: Eletroeletrônica
Banca: CESPE / CEBRASPE
Orgão: SEE-DF
Enunciado 785269-1
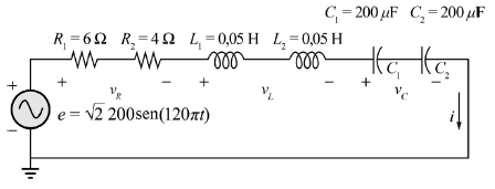
R. Boylestad. Introdução à análise de circuitos. 10.a ed. São Paulo: Prentice Hall, 2004, p. 454 (com adaptações).
Tendo como referência o circuito mostrado na figura apresentada, julgue o item que se segue.
A reatância capacitiva do circuito é superior a 100 Ω.
 

Provas

Questão presente nas seguintes provas