O teor de argila em solos é uma variável aleatória X, cuja
função densidade de probabilidade é dada por:
f(x; a) = axa–1 , para a > 0 e 0 < x < 1.
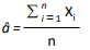
Seja X1, X2, ..., Xn uma amostra aleatória de tamanho n e identicamente distribuída com densidade f(x; a). O estimador de máxima verossimilhança de a, representado por â, é:
f(x; a) = axa–1 , para a > 0 e 0 < x < 1.
Seja X1, X2, ..., Xn uma amostra aleatória de tamanho n e identicamente distribuída com densidade f(x; a). O estimador de máxima verossimilhança de a, representado por â, é:
Provas
Questão presente nas seguintes provas
Analista do Ministério Público - Estatística
50 Questões