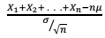
Quando nos referimos a uma sequência de variáveis aleatórias {Xi} com i ≥ 1, independentes e identicamente distribuídas, com média μ e variância σ2 , sendo estas finitas, podemos afirmar que:

Quando nos referimos a uma sequência de variáveis aleatórias {Xi} com i ≥ 1, independentes e identicamente distribuídas, com média μ e variância σ2 , sendo estas finitas, podemos afirmar que:
