Magna Concursos
2695087 Ano: 2023
Disciplina: Estatística
Banca: Consulplan
Orgão: IF-PA
Provas:
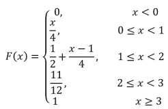
Suponha que a variável aleatória X represente o tempo de falha, em mil horas, de um projetor multimídia. A função distribuição de probabilidade da variável X é dada por: Enunciado 3407383-1

Qual a probabilidade do tempo de falha desse projetor estar entre 500 e 1.500 horas?
 

Provas

Questão presente nas seguintes provas

Estatístico

70 Questões