Magna Concursos
857087 Ano: 2018
Disciplina: Estatística
Banca: AOCP
Orgão: FUNPAPA
Provas:
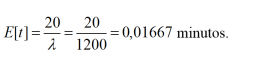
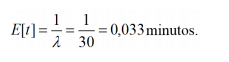
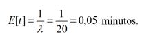
A central de atendimento aos consumidores de uma grande loja inicia o atendimento às 8:00h. As chamadas chegam conforme um processo de Poisson, com uma taxa de 1200 chamadas por hora. Às 8h:01min já haviam chegado 30 chamadas. Qual é o tempo médio entre chamadas?
 

Provas

Questão presente nas seguintes provas

Estatístico

50 Questões