Magna Concursos
1272312 Ano: 2010
Disciplina: Engenharia de Automação
Banca: CESPE / CEBRASPE
Orgão: ABIN

Estima-se, atualmente, que mais de 90% das malhas de controle utilizadas em processos industriais operem com controladores proporcional-integral-derivativo (PID). Acerca de controlador PID, julgue os itens a seguir.

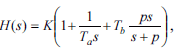
A função de transferência de um controlador PID pode ser representada por Enunciado 1272312-1 em que K é o ganho do controlador, Ta e Tb são as constantes de tempo integral e derivativo, respectivamente, e p é um polo para limitação de ganho em altas frequências.
 

Provas

Questão presente nas seguintes provas