Magna Concursos
402420 Ano: 2011
Disciplina: Estatística
Banca: CESPE / CEBRASPE
Orgão: EBC

Julgue os itens subsequentes, relativos à família exponencial de distribuições.

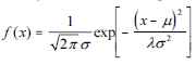
A distribuição normal cuja densidade de probabilidade é expressa pela função pertence à Enunciado 402420-1 família exponencial.

Questão Anulada

Provas

Questão presente nas seguintes provas

Analista da EBC - Estatística

120 Questões