
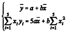
Considerando que a tabela acima mostra as alturas e as massas corporais de cinco pessoas participantes de um estudo nutricional, e que
e são a altura média e o peso médio, respectivamente![]()
, julgue o seguinte item acerca do modelo de regressão linear simples yi = a + bxi + εi , em que εi é um erro aleatório com média nula e variância constante, e a e b são os objetos da estimação.
Os estimadores para os coeficientes a e b pelo método de mínimos quadrados ordinários satisfazem ao sistema de equações normais a seguir.
