Magna Concursos
62037 Ano: 2006
Disciplina: Estatística
Banca: CESPE / CEBRASPE
Orgão: MDS
Provas:

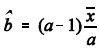
Um consultor desenvolveu uma estatística X cuja função de densidade é expressa por \( f(x) = \dfrac {ab^a} {x^{a+1}} \), para x > b, e f(x) = 0, para x < b, em que a > e b > 0 são os parâmetros dessa distribuição. Para a estimação dos parâmetros a e b, o consultor observou n realizações independentes x1, x2, ..., xn dessa estatística X. Com base nessas informações, julgue o item a seguir.

Considerando um valor fixo para \( a, a \ne 1 \), a estimativa de mínimos quadrados para o parâmetro b é Enunciado 3664704-1, em que Enunciado 3664704-2.

 

Provas

Questão presente nas seguintes provas

Estatístico

120 Questões