Magna Concursos
1486594 Ano: 2003
Disciplina: Estatística
Banca: FCC
Orgão: SEDUC-SE

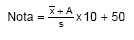
No edital do concurso para provimento de vagas no cargo de professor de educação básica do estado de Sergipe, encontra-se a seguinte descrição acerca da nota do candidato na prova do concurso:

A nota do candidato resultará da diferença entre seu escore bruto e a média do grupo, dividida pelo desvio padrão da distribuição, multiplicada por 10 (dez) e acrescida de 50 (cinqüenta).

Supondo que

x = média do grupo

A = número de acertos do candidato

s = desvio padrão

qual das alternativas seguintes contém a fórmula descrita?

 

Provas

Questão presente nas seguintes provas

Professor do Ensino Fundamental

50 Questões