Em relação a normas e técnicas aplicáveis ao desenho técnico de circuitos elétricos e eletrônicos, julgue o item subsecutivo.
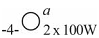
O símbolo a seguir, apresentado em uma legenda de uma planta de instalação elétrica, indica a utilização de um ponto de luz pertencente ao circuito a, com ponto de comando pelo interruptor 4 e duas lâmpadas incandescentes com 100W de potência cada.

O símbolo a seguir, apresentado em uma legenda de uma planta de instalação elétrica, indica a utilização de um ponto de luz pertencente ao circuito a, com ponto de comando pelo interruptor 4 e duas lâmpadas incandescentes com 100W de potência cada.