Um relatório divulgado pela Comissão de Relações
Exteriores do Senado americano em 2003 aumentou a paranóia
dos Estados Unidos da América e a preocupação de todo o
mundo com o terrorismo. Mais de 80 especialistas em segurança
nacional e não-proliferação de arsenais concluíram que a chance
de o planeta assistir a um atentado com armas de destruição em
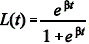
massa (químicas, biológicas ou nucleares) segue a curva logística
, em que L(t) representa a probabilidade de o planeta
assistir a um atentado com armas de destruição em massa para um
dado instante t, em anos, sendo t ≥ 0, e β é uma constante. Nesse
modelo, t = 0 corresponde ao ano 2003, t = 1, ao ano 2004, e
t = k ≥ 0, ao ano 2003 + k. De acordo com os especialistas, a
probabilidade de o mundo assistir a um atentado com armas de
destruição em massa em 2013 — t = 10 — será igual a 0,80 —
L(10) = 0,8.
Correio Braziliense, 23/5/2005 (com adaptações).
A função de densidade de probabilidade de T é apresentada corretamente a seguir.
