2547238
Ano: 2017
Disciplina: Administração Financeira e Orçamentária
Banca: FCM
Orgão: IF Baiano
Disciplina: Administração Financeira e Orçamentária
Banca: FCM
Orgão: IF Baiano
Provas:
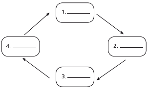
As Receitas Orçamentárias têm papel de destaque no processo de planejamento e de gestão dos orçamentos de instituições públicas. A figura abaixo representa as etapas de realização das Receitas Orçamentárias.

De acordo com o Manual de Contabilidade Aplicada ao Setor Público, a sequência correta é