Acerca de codificação e compressão de sinais, julgue os seguintes itens.
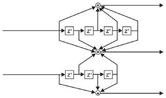
Considere que a figura abaixo represente um codificador convolucional binário, em que z significa um atraso discreto. Nesse caso, o código é não recursivo, não sistemático, com taxa R = 2⁄3 e pode ser decodificado por meio de um decodificador de Viterbi com treliça de 128 estados.
Provas
Questão presente nas seguintes provas