Magna Concursos
797886 Ano: 2018
Disciplina: Estatística
Banca: AOCP
Orgão: SUSIPE-PA
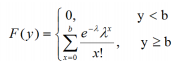
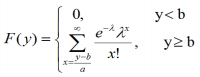
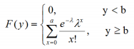
Suponha que a variável aleatória X conte o número de queixas registradas em um órgão de defesa do consumidor em um dia. A função de distribuição de probabilidade de X segue a lei de Poisson e é dada por:
enunciado 797886-1
Portanto a função de distribuição acumulada de Y = aX + b , sendo a e b constantes, é dada por
 

Provas

Questão presente nas seguintes provas