- Estatística InferencialVariáveis AleatóriasVariável Aleatória Contínua
- ProbabilidadesFunção Geratriz de Momentos
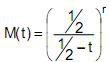
A função geratriz de momentos da variável aleatória contínua X é dada por
, para t < ½ e onde r é parâmetro de X.
O valor de r para que X tenha distribuição qui-quadrado com 12 graus de liberdade é dado por
, para t < ½ e onde r é parâmetro de X. O valor de r para que X tenha distribuição qui-quadrado com 12 graus de liberdade é dado por