A resposta em frequência de um sistema de fase nula H (jω) é representada abaixo.

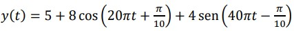
Um sinal x (t), dado por:

é aplicado na entrada do sistema, gerando o sinal de saída y(t).
Selecione a alternativa que especifica corretamente o sinal y(t).
Provas
Questão presente nas seguintes provas