
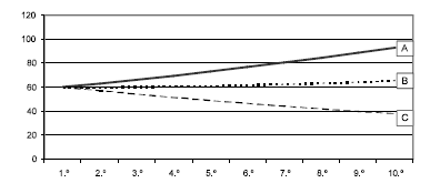
A partir da figura acima que descreve, graficamente, o resultado da análise de cenários, julgue os próximos itens.
A análise de cenários apresentada na figura foi realizada em ambiente de grande imprevisibilidade de mudanças e de difícil previsão de tendências.