Magna Concursos
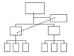
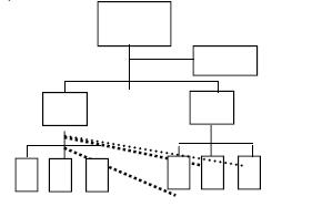
Identifique o gráfico que representa corretamente uma estrutura matricial.
 

Provas

Questão presente nas seguintes provas

Analista de Finanças e Controle - Correição

190 Questões

Analista de Finanças e Controle - TI

190 Questões