Instrução: A tabela abaixo apresenta a Distribuição Normal Padrão.

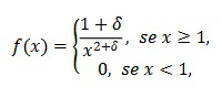
sendo que δ > 0.Considerando as informações acima, e tendo em vista as Leis dos Grandes Números, assinale a alternativa que apresenta a afirmação correta.
Instrução: A tabela abaixo apresenta a Distribuição Normal Padrão.

sendo que δ > 0.