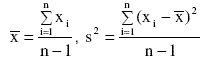
Uma amostra aleatória de tamanho n foi obtida de uma distribuição normal com média μ e variância ð2. Os estimadores de máxima verossimilhança (EMV) de μ e ð2 são respectivamente:
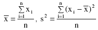
Uma amostra aleatória de tamanho n foi obtida de uma distribuição normal com média μ e variância ð2. Os estimadores de máxima verossimilhança (EMV) de μ e ð2 são respectivamente: