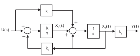
Considere o diagrama de blocos abaixo.
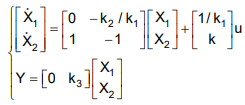
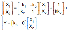
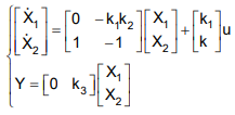
O modelo de estado associado ao diagrama de blocos é o seguinte:
Olá, para continuar, precisamos criar uma conta! É rápido e grátis.