Magna Concursos
488660 Ano: 2016
Disciplina: Ciências Atuariais
Banca: CESPE / CEBRASPE
Orgão: FUNPRESP-JUD
Provas:

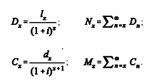
As tábuas de comutação de determinada coorte são formuladas essencialmente pelas funções lx = número de sobreviventes com x anos de idade e dx = número de pessoas com x anos de idade que morrerão antes de atingir a idade x + 1, provenientes das tábuas de mortalidade e pelo fator de descapitalização enunciado 488660-1 baseado em uma taxa de juros i. Dois pares de funções importantes compõem essas tábuas: Dx e Nx — funções de sobrevivência —, e Cx e Mx — funções de morte. Essas funções possuem as seguintes expressões, em que ω é a idade terminal:

enunciado 488660-2

Considere uma coorte de 100.000 nascidos que, à taxa de juros de 6% ao ano, tenha uma tábua de comutações cuja linha para a idade x = 35 anos seja a seguinte.

enunciado 488660-3
Com base nas informações apresentadas, julgue o item que se segue.

Ao fazer um seguro de vida no valor de R$ 200.000,00, um indivíduo com 35 anos de idade pagará como prêmio único um valor inferior a R$ 12.500,00.

 

Provas

Questão presente nas seguintes provas

Analista - Atuária

120 Questões