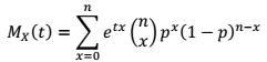
Dada a função geradora de momentos para variável aleatória binomial:

Qual das opções corresponde à mesma função geradora e qual o resultado da derivada
quando t = 0.
Dada a função geradora de momentos para variável aleatória binomial:

Qual das opções corresponde à mesma função geradora e qual o resultado da derivada
quando t = 0.