- EletrotécnicaAnálise de Circuitos Elétricos
- EletrônicaCircuitos de Corrente Contínua em Eletroeletrônica
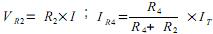
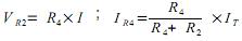
Considerando o circuito apresentado abaixo:

Qual relação descreve a tensão no resistor R2 (VR2) e a corrente no resistor R4 (IR4), respectivamente? 
Assinale a alternativa CORRETA.