Magna Concursos
62036 Ano: 2006
Disciplina: Estatística
Banca: CESPE / CEBRASPE
Orgão: MDS
Provas:

Um consultor desenvolveu uma estatística X cuja função de densidade é expressa por \( f(x) = \dfrac {ab^a} {x^{a+1}} \), para x > b, e f(x) = 0, para x < b, em que a > e b > 0 são os parâmetros dessa distribuição. Para a estimação dos parâmetros a e b, o consultor observou n realizações independentes x1, x2, ..., xn dessa estatística X. Com base nessas informações, julgue o item a seguir.

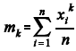
Considerando-se uma estimativa \( \hat {b} \) para o parâmetro b, o parâmetro a pode ser estimado pelo método dos momentos usando-se a equação \( \hat {a} = \dfrac {km_k} {m_k - \hat {b} ^k} \) em que Enunciado 3664703-1, para k = 1, 2, 3,...

 

Provas

Questão presente nas seguintes provas

Estatístico

120 Questões