Magna Concursos
179319 Ano: 2019
Disciplina: Estatística
Banca: FASTEF
Orgão: UFCA
Provas:

As questões de 15 a 17 deverão ser respondidas com base nos dados do seguinte enunciado.

A UFCA vai mandar dois estudantes para representá-la em um evento internacional. A escolha dos representantes será realizada em duas etapas. Inicialmente, os Campi de Juazeiro do Norte, Barbalha e Icó devem escolher dois estudantes cada. Posteriormente, os dois representantes para o evento internacional serão escolhidos aleatoriamente entre estes seis.

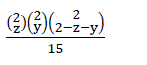
Considere que Z e Y representam o número de estudantes selecionados dos Campi de Juazeiro do Norte e Barbalha, respectivamente. Para Z,Y = 0,1,2 e 0≤ Z + Y ≤ 2, a função de probabilidade conjunta de (Z, Y) é dada por:

 

Provas

Questão presente nas seguintes provas

Estatístico

40 Questões