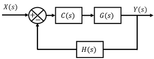
Os sistemas de controle podem ser representados na forma de diagrama de blocos. Considere a representação do sistema controlado apresentado na figura a seguir:

Assinale a alternativa que apresenta a relação da saída Y(s) pela entrada X(s).
Provas
Questão presente nas seguintes provas